Dark Souls Wiki

...VibeWiki
Статья

Разрывающий самоцвет

Разрывающий самоцвет (англ. Blood Gem) — самоцвет в игре Dark Souls III. Примените на оружие, чтобы сделать его разрывающим. Разрывающее оружие уменьшит базовый урон всех типов, взамен добавляя или увелич

Полный материал страницы

1 часть = Самоцвет из закаленного титанита. Его глотают иритилльские рабы.

2 часть = Используется для изготовления разрывающего оружия.

3 часть = Такое оружие вызывает кровотечение. Наиболее эффективно закаливать таким образом острое или шипастое оружие.

Эффект

Примените на оружие, чтобы сделать его разрывающим. Разрывающее оружие уменьшит базовый урон всех типов, взамен добавляя или увеличивая базовый эффект кровотечения и скалирование от удачи ТОЛЬКО для статусных эффектов.

Контрольные точки

  • 50 удачи

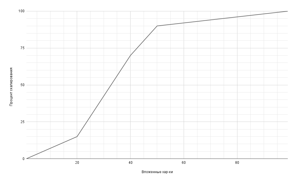
Графики

Данный график иллюстрирует увеличение статусных эффектов в разрывающей закалке в зависимости от вложенных очков в удачу. Актуален для всего оружия. График скалирования статус-эффектов в разрывающей закалке Дополнительная визуализация графика Общий график скалирования ''Важно! Данные графики иллюстрируют ТОЛЬКО прибавку значения статус-эффектов от удачи. Расчёт прибавки урона будет использовать общий график скалирования.''

Местонахождение

  • Иритилл Холодной долины. От костра Церковь Йоршки нужно двигаться в сторону кладбища, далее свернуть влево, пройти темное здание, после повернуть направо и спрыгнуть на уступ — самоцвет будет лежать у дерева под охраной одного из рабов-магов.
  • Выпадает из иритилльских рабов.

Примечания

Видео