Dark Souls Wiki

...VibeWiki
Статья

Отравленный самоцвет

Изображение=Отравленный самоцвет (Dark Souls III).png Местонахождение= см. далее в статье Использование= Закалить оружие, сделав его отравленным. }} (англ. Poison Gem) — самоцвет в игре Dark Souls III.

Полный материал страницы

1 часть = Самоцвет из закаленного титанита. Можно найти в гнилом лесу Фаррона.

2 часть = Используется для изготовления отравленного оружия.

3 часть = Такое оружие отравляет врагов и постепенно губит их.

Эффект

Примените на оружие, чтобы сделать его отравленным. Отравленное оружие уменьшит базовый урон всех типов, взамен добавляя или увеличивая базовый эффект отравления и скалирование от удачи ТОЛЬКО для статусных эффектов.

Контрольные точки

  • 50 удачи

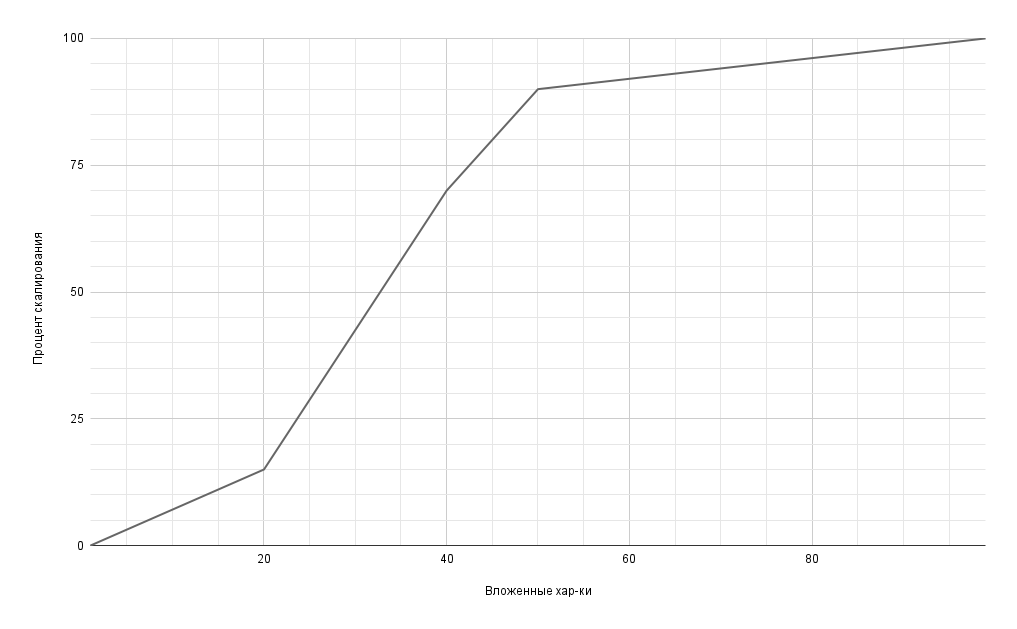
Графики

Данный график иллюстрирует увеличение статусных эффектов в отравленной закалке в зависимости от вложенных очков в удачу. Актуален для всего оружия. График скалирования статус-эффектов в отравленной закалке Дополнительная визуализация графика Общий график скалирования ''Важно! Данные графики иллюстрируют ТОЛЬКО прибавку значения статус-эффектов от удачи. Расчёт прибавки урона будет использовать общий график скалирования.''

Местонахождение

Примечания

  • Для закалки необходимо найти Уголь Фаррона и принести его кузнецу Андрэ.
  • Оружие с этим самоцветом НЕ может быть зачаровано или покрыто смолой.
  • Яд отнимает здоровье по формуле [(Макс. ОЗ * 0.0007) + 7] и действует 90 секунд.